DCMP: Expanded Film Experience BLOG

25/01/2024
Sensing Experiments
Sensing Experiments
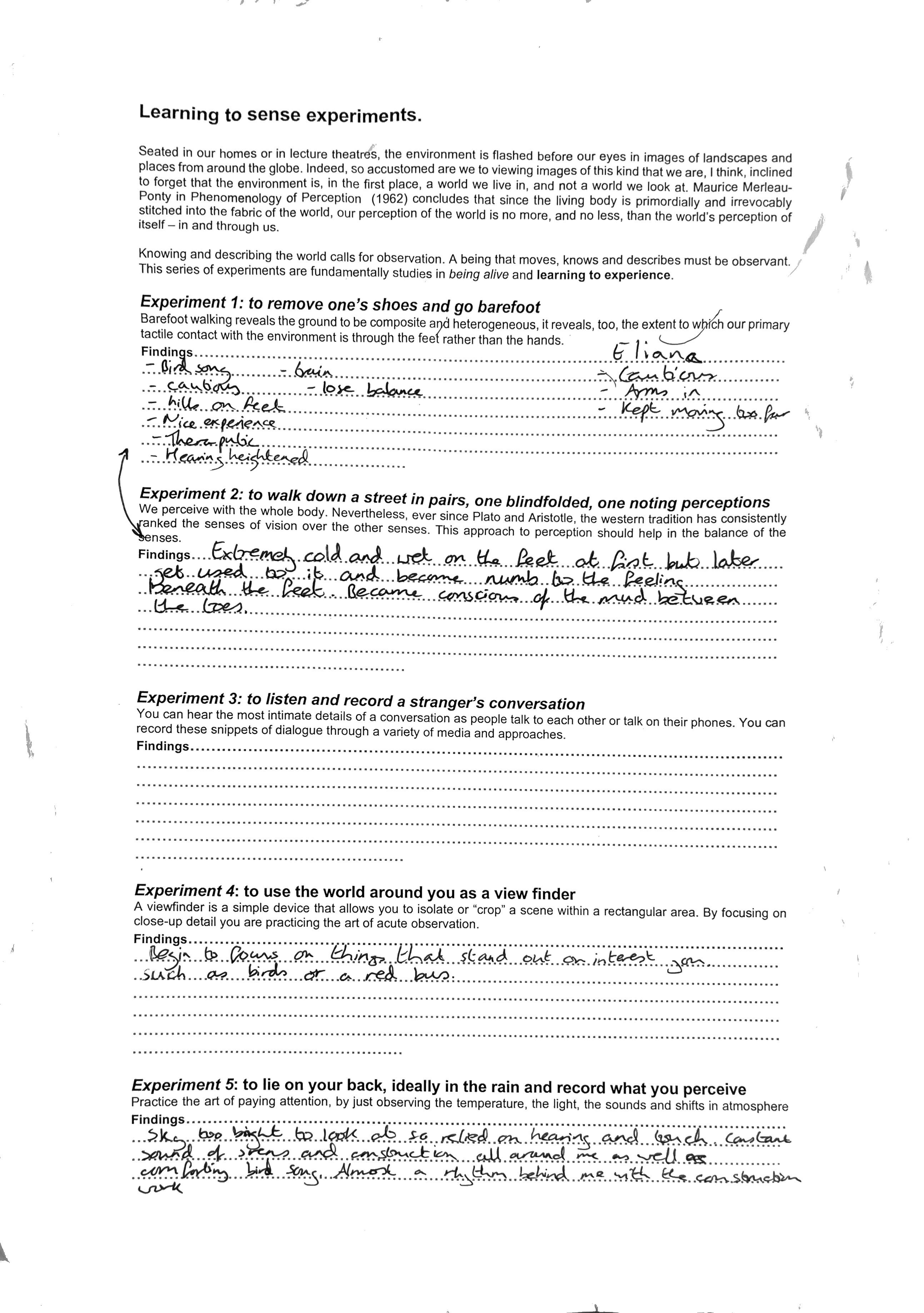
During today’s tutorial, the group was tasked with completing some psychogeological exercises to help us with our creative vision. These included lying on the ground, walkingb with no shoes on, walking blindfolded with a partner, seeing through a viewfinder and listening to a stranger’s conversation. This was very interesting and it allowed me to think about sounds and feelings I wouldn’t normally think about when simply observing the world through sight. This exercise widened my perceptions of the world around me and I will definitely use these when needing some inspiration in the future. We were also tasked to go on a few walks and take pictures of what we noticed. On the colour walk, for example, I took photos of things that were orange and it allowed me to see things I wouldn’t usually notice. This was quite theraputic and captivating and I enjoyed the calm feeling I gained from these experiences. We also used Sharepoint to share our photos and see others- this was a good insight into the groups view on the world and allowed me to think about all the different ways in which we sense things and, especially, see things from different perspectives.
In the afternoon, pairs were given a microphone to record any interesting sounds we could find around the university. Me and Eliana found lots of water sounds as well as piano, thumps and crinkles. This was a great experience and we learnt how to properly set levels to get a clear recording which we then used to make an ambient track. Using Garage Band, we created a 30 second track using the sounds we had gathered. Having not used Garage Band before, this was a little difficult but we were able to play around with the software and create a relatively fine piece of ambient sound in the last part of the day. I have used Adobe Audition before for my photography project last semester but would like to continue to explore its capabilities for future projects and would like to continue to experiment using sound recorded from my surroundings.
In the afternoon, pairs were given a microphone to record any interesting sounds we could find around the university. Me and Eliana found lots of water sounds as well as piano, thumps and crinkles. This was a great experience and we learnt how to properly set levels to get a clear recording which we then used to make an ambient track. Using Garage Band, we created a 30 second track using the sounds we had gathered. Having not used Garage Band before, this was a little difficult but we were able to play around with the software and create a relatively fine piece of ambient sound in the last part of the day. I have used Adobe Audition before for my photography project last semester but would like to continue to explore its capabilities for future projects and would like to continue to experiment using sound recorded from my surroundings.
Sound will be an important part of this project as I hope to utilise VR to transport the subject to another place which will utilise visual pieces as well as audio pieces to engross the subject in the atmosphere. After today, I am really looking forward to starting this project and creating something fun and engaging.
01/02/2024
Group Forming
This morning we discussed group formation and began to think of ideas for the project. We looked at some examples of expanded media which seemed very interactive and interesting. I particularly liked the idea of riding a bike to a narrative and the interactivity there. Myself, Nattan and Eliana became a group and began discussing our ideas around a dome where the audience crawls into the space to see a prejection around them of a place. Eliana came up with some great ideas around different languages and I wondered whether we could have a live feed from a 360 camera elsewhere that is being shown in the dome. I also wanted to make it more immersive and suggested adding some plants and round objects which could help immerse the viewer in a nature-like place for example. This lecture gave us a better understanding of what we might want to do for our project and I plan to create a group chat and padlet for us all to share ideas.
During the afternoon session, we were introduced to MAX for audio editing. I really enjoyed using this software and creating a sound-scape based on the sound we recorded in last week’s session. I created a 40 second long piece which utilised the two speakers of the computer to create a sense of immersion and encapsulation in the sound. Although I may need to practice with the software more, I am looking forward to using the software during the sessions and for our project. I think it would be beneficial to have some sort of interactive element to our idea which can be brought in through MAX and other software and hardware alike.
08/02/2024
During today’s session, we learnt how to use aperture, shutter speed and ISO to affect the look of a moving image. We experimented with different apertures to change the depth of field, shutter speed to affect the motion blur and ISO to affect the digital grain in the image. I learnt that it is difficult to change all of these aspects together as they need to be chnaged in tandem with each other, depending on the lighting and setting. I enjoyed today’s session and learnt a lot while practicing. Next week we will be pitching our ideas to the group so I have set up a onedrive for my group to add ideas and make changes to the PowerPoint. We will have a meeting at some point between now and next week too so that we are all aware of what we are doing.
Moving Image Workshop
During today’s session, we learnt how to use aperture, shutter speed and ISO to affect the look of a moving image. We experimented with different apertures to change the depth of field, shutter speed to affect the motion blur and ISO to affect the digital grain in the image. I learnt that it is difficult to change all of these aspects together as they need to be chnaged in tandem with each other, depending on the lighting and setting. I enjoyed today’s session and learnt a lot while practicing. Next week we will be pitching our ideas to the group so I have set up a onedrive for my group to add ideas and make changes to the PowerPoint. We will have a meeting at some point between now and next week too so that we are all aware of what we are doing.
14/02/2024
Pitch Planning
After our lecture yesterday, our group had a meeting where we discussed what exaxtly we wanted to do for our project. Over the weekend, we all contributed top the padlet I had set up, bringing all our ideas together and we then presented our ideas to each other and decided on a final project. This project involves evoking childhood memories by exporting our audience to a childhood blanket fort and utilising projections and surround sound to show a memory. Every experience will be different as the audience is encouraged to play with the toys on offer and see themselves as an adult in mirrors around them. They are constantly being reminded that they are now grown and no longer experience those experiences of the child in the video (or from the perspective of that child). A lot of our inspiration is taken from the many experiences we’ve had in galleries around London and dome-like projections. We then went about creating a PowerPoint for the pitch on Thursday which we have all contributed to and finished today.
I’m really looking forward to getting started with this project as my group seem all involved and we are all contributing well. This is an exciting project and I hope we can make it as well-made as possible.
Here is our project pitch for Thursday:
15/02/2024
Today we did our project pitch together where we presented our ideas to the group and got lots of brilliant feedback. Much of the feedback was discussing how we should practice our ideas and experiment in the blue shed as soon as possible. We were also faced with whether we should have a proper narrative and whether their are some issues related to showing something from a child’s perspective. We now need to practice our ideas and work out exactly what it is we need to do, and whether it is possible to have a 360 degree projection.
It was also very interesting to hear everyone else’s ideas and I am looking forward to seeing what they produce.
Eliana took some great notes during our feedback section which we will use in the coming weeks:
Project Pitch
Today we did our project pitch together where we presented our ideas to the group and got lots of brilliant feedback. Much of the feedback was discussing how we should practice our ideas and experiment in the blue shed as soon as possible. We were also faced with whether we should have a proper narrative and whether their are some issues related to showing something from a child’s perspective. We now need to practice our ideas and work out exactly what it is we need to do, and whether it is possible to have a 360 degree projection.
It was also very interesting to hear everyone else’s ideas and I am looking forward to seeing what they produce.
Eliana took some great notes during our feedback section which we will use in the coming weeks:
22/02/2024
Sound Workshop and MAX Video Workshop
During the session this morning, we were introduced to sound reciording and editing in Adobe Audition. I have previously used Audition but it was good to learn exactly how to do things and what all the effects are. I enjoyed finding sounds and making sure they were of good quality before editing to make the editing process much easier. We also learnt about different microphones and when to use them so I will defvinitely take this information on board when thinking about my project.
This afternoon, we did some more work on MAX with how to add video and edit them using the software. We cut up video, like David Hockney’s photography, to create a montage of simultaneous videos as a collage. This was really interesting and good to know as we will likely use this software in our project and I am excited to learn about how we can incorporate some sort of interactivity into the software.
28/02/2024
Group Meeting
Today, we had a group meeting about our project where we discussed exactly what we wanted to do. During the meeting, we suggested many idaes about the narrative of our piece and came to the conclusion that we wanted to tell the life of one of us through memories. We will do this by having the audience enter a den and sit on bean bags, as if inside this child’s childhood fort. We will then play home videos and first person videos on a CRTV screen and projection-mapped around it as if the memories are coming from the screen and being played into the space. We also want to have shelves which will hold items for the audience to interact with, playing sounds because of movement etc to make the piece more interactive. We look forward to explaining our ideas tomorrow and getting some feedback.
29/02/2024
Physical Computing
This morning, we learnt about physical computing and how we can use this in our projects. Physical computing is where computing is taken into the physical world and we are able to manipulate the input ourselves without the use of a digital interface. I particularly liked looking at thefuntheory.com’s deep bin and piano stairs as this makes regular things seem more enjoyable and after learning how to use an I-PAC and MakeyMakey, this seems quite easy to do. We then used an I-PAC and inputs such as a motion detector and light sensor to send a signal to the computer to press a button on the keyboard. This waqs very enjoyable and I look forward to using electronics later in the project. We then used a MakeyMakey and I programmed buttons with playdoh to use as arrows for playing Pacman and later made my own button to jump on as a way of physically jumping in Super Mario Bros. These worked fairly well but I look forward to using these skills in MAX to create a full experience with my project.
Feedback
This afternoon, my group went into the Blue Shed to practice setting up the room using plinths as a surface to project the memories onto. We set up the room similar to how we’d like our project to be and sorted out some technical stuff with where we would like our items to be.
We then spoke to Jonny about our project and got some great feedback relating to what we actually want to say with our piece. We seem to have focused mainly on the looks of our piece without truly thinking about what we want to say. We have conflicting ideas about nostalgia and memory so we need to narrow down our focus and make sure our ideas can relate back to this. We then spoke about our ideas and became a little confused. We are struggling to come up with a reason for the goings on in our project and have now discovered that our ideas may not match up with anything we are trying to do. Therefore, we are going to go away over the weekend and try to come up with ideas and put them on our shared padlette. Hopefully, we can come to an agreement with what our question for our project will be so that we can start on our project. We are also going to try to find videos that we can use by asking our parents and peers for footage and start experimenting with first-person footage.
07/03/2024
Arduino and MAX
During this morning’s session, we learnt how to use an Arduino UNO which may be useful in our projects. Arduino is an open source coding board used for a plethora of different uses with an input and output. We experimented with the Arduino by attaching an LED, button, potentiometer, photoresistor, servo and distance monitor. While the process was fiddley and small, myself and Eliana managed to program the Arduino to do some interesting things and managed to get all the outputs working. When working on the distance monitor, we struggled a bit but soon managed to wire it correctly then worndered how we could make it a little smoother. We found some code and added it to our existing code but unfortunately, this didn’t work. However, I think this workshop was very useful and I’d like to use an Arduino again in the future; if not for this project, for a personal one and would like to look into buying on for myself.
After lunch, we worked on MAX again to configure movement and sound as an input for the program. This was very useful and fairly straight forward, allowing the process to be easily changed to fit the desires of our project. I think this will be very useful in the future as we’d like to ustilise the handling of objects to cause images to appear on the screen and projection.
Over the week, we discussed our plan for this project and I came up with the example below on our padlet. This is going to be the outline for the project and we have all gone away and come back with some home videos that we are going to shoot again in a first person perspective. For next week, we aim to have some videos to share and practice working with to get an idea of what we want our project to truly be.
“Question: How do we experience memories?
It can still be a space which relates to someone and their memories but it is an exploration into how we replay them- both via 3rd person and 1st person narratives. The TV in the centre shows the 3rd person home video while the projection map around the TV shows a contrived 1st person perspective, allowing the audience to experience the memories as if they were the person in question. The audience are encouraged to think about their own memories and how they experience them themselves. It is a comment on how we forget how the memory was formed through the eyes of a child and now we see only that of a video or 3rd person perspective. I think the space we have contrived still helps to evoke that memory. Maybe instead of having a narrative of a person going through their life. The videos are triggered by the audience picking up items on the shelf which spark memories, relating to how we experience and remember things through objects as well as videos.
We could also have videos from various people where the items relate to the individual videos we find rather than taking a few from only one person. Therefore, it is about how we all experience memories rather than just the memories of one person.
I don't really want to move away from our initial idea because I really like it. I'm not sure if this is in depth enough to say what we want to say and have a strong enough question though.”
14/03/2024
This morning we joined Aaron in a workshop about how to do installations and how different ways of presenting work will affect the way it is viewed. I was interesting to learn how to present work with different screens and projections and that we must be thinking about how it will be viewed even before filming. This is really important as the setting can affect perspectives so both the piece of work and its environment must go hand in hand. We then used Final Cut Pro to edit our own 3 screen instillation which would be used as a mock up for a gallery.
In the afternoon, we visited Staffordshire Street Gallery in Peckham to see Jonny Fuller-Rowell, Dr Julie Marsh and Jonny Titheridge’s exhibition of ‘Faith, Place and Migration’. It was really great to see what our lecturers were doing outside of university and it was a great experience as it relates heavily to the module. It was really interesting to learn about how they went about speaking to people from the culture and creating a piece of art that they have had lots of input in. I really enjoyed the experience of sitting on the carpet and seeing the image move up and down as well as the 3D space of the old mosque that you could walk through digitally and listen to the congregation. Julie spoke to us about how the project was created by going on trips and speaking to others, while Jonny’s rigs were incredibly interesting to learn about. It was a great experience and it has inspired me to find inspiration in areas I may not have before and to simply to go exploring for ideas. I would like to speak to Jonny about technology and how I might be able to use some of it either in this project or in a later, personal project.
Installation Workshop
This morning we joined Aaron in a workshop about how to do installations and how different ways of presenting work will affect the way it is viewed. I was interesting to learn how to present work with different screens and projections and that we must be thinking about how it will be viewed even before filming. This is really important as the setting can affect perspectives so both the piece of work and its environment must go hand in hand. We then used Final Cut Pro to edit our own 3 screen instillation which would be used as a mock up for a gallery.
‘Faith, Place and Migration’
In the afternoon, we visited Staffordshire Street Gallery in Peckham to see Jonny Fuller-Rowell, Dr Julie Marsh and Jonny Titheridge’s exhibition of ‘Faith, Place and Migration’. It was really great to see what our lecturers were doing outside of university and it was a great experience as it relates heavily to the module. It was really interesting to learn about how they went about speaking to people from the culture and creating a piece of art that they have had lots of input in. I really enjoyed the experience of sitting on the carpet and seeing the image move up and down as well as the 3D space of the old mosque that you could walk through digitally and listen to the congregation. Julie spoke to us about how the project was created by going on trips and speaking to others, while Jonny’s rigs were incredibly interesting to learn about. It was a great experience and it has inspired me to find inspiration in areas I may not have before and to simply to go exploring for ideas. I would like to speak to Jonny about technology and how I might be able to use some of it either in this project or in a later, personal project.
21/03/2024
Tutorial and Experimenting
During today’s session, myself and Eliana made great progress in our project and set up the general layout of how it will look. We utilised the ‘memory bank’ idea and began contructing a set for a projection map of first person memories and projected the third person home video onto a CRT TV in the centre of the piece. Using MAX and a projector, we managed to program that when items are picked up from the centre, the home video related to that item plays on the CRT. I brought in a bycicle helmet and teddy bear which were connected to vibration detectors which then connected to keys on the keyboard. Using this, we were able to program the video to play when a certain key is pressed/when a certain object is lifted. We also discussed what else was needed for the piece, such as some more home videos and the first person perspective of those videos so will aim to shoot these next Wednesday. We also discussed the layout of the room and so we are hoping to have a carpet for the audience to sit on and some cushions. We will decorate the room with several objects, such as a lamp or stack of books, which can also be projection mapped onto. The sound will be a mixture of the videos’ sound and some contrived sounds relating to the first person perspective, such as a heart beat. While I am in charge of MAX and coding, Nattan will be in charge of the projection mapping and Eliana the production design and sound of the piece. I am really happy with what we were able to achieve today and look forward to starting to put it all together next Thursday.
Tutorial and Experimenting
During today’s session, myself and Eliana made great progress in our project and set up the general layout of how it will look. We utilised the ‘memory bank’ idea and began contructing a set for a projection map of first person memories and projected the third person home video onto a CRT TV in the centre of the piece. Using MAX and a projector, we managed to program that when items are picked up from the centre, the home video related to that item plays on the CRT. I brought in a bycicle helmet and teddy bear which were connected to vibration detectors which then connected to keys on the keyboard. Using this, we were able to program the video to play when a certain key is pressed/when a certain object is lifted. We also discussed what else was needed for the piece, such as some more home videos and the first person perspective of those videos so will aim to shoot these next Wednesday. We also discussed the layout of the room and so we are hoping to have a carpet for the audience to sit on and some cushions. We will decorate the room with several objects, such as a lamp or stack of books, which can also be projection mapped onto. The sound will be a mixture of the videos’ sound and some contrived sounds relating to the first person perspective, such as a heart beat. While I am in charge of MAX and coding, Nattan will be in charge of the projection mapping and Eliana the production design and sound of the piece. I am really happy with what we were able to achieve today and look forward to starting to put it all together next Thursday.
27/03/2024
Today the group decided to have a meeting about which videos we wanted to use for the project and how we could go about making a first-person perspective of these videos. We made a plan and delegated videos for each person and then decided to go outside and film the first-person perspective for my cycling video. This went well as I was able to bring my bike outside and film as if a child was looking through the handlebars. We also discussed the other videos and decided to use emotions to dictate what might happen in them. Therefore, we will be using sound effects such as heart beats and music to help engross the viewer in the entrancing memory. Tomorrow, we are going to try cutting up the first-person perspective and applying it on the blocks to appear fragmented and etherial.
Filming
Today the group decided to have a meeting about which videos we wanted to use for the project and how we could go about making a first-person perspective of these videos. We made a plan and delegated videos for each person and then decided to go outside and film the first-person perspective for my cycling video. This went well as I was able to bring my bike outside and film as if a child was looking through the handlebars. We also discussed the other videos and decided to use emotions to dictate what might happen in them. Therefore, we will be using sound effects such as heart beats and music to help engross the viewer in the entrancing memory. Tomorrow, we are going to try cutting up the first-person perspective and applying it on the blocks to appear fragmented and etherial.
28/03/2024
Today myself and Eliana put together the set and found a better projector that could be placed much further back above the audience so that they do not interfere and cause shadows. We also set up the first-person perspective videos around the centre home video which gave an interesting effect of seeing both the original memory and its fragmented constuction which represents the memory for that person more personally. One piece of feedback we received was to make the bike video more scary and so we will add the emotions to the videos in the coming weeks; for example, the bike video will be sped up and include a heart beat as well as some dangerous music. We also discussed dressing the set and added a couple of pieces, such as a lamp and books, to make the space feel more homely and connected to childhood memories. We will continue to add items we feel relate to the feel of the space such as picture frames and cushions. We set out a plan on who would do what and the editing of videos has been delegated between us. Over the next week we aim to get all the items and videos edited so that we can put it all together next Thursday.
Practice
Today myself and Eliana put together the set and found a better projector that could be placed much further back above the audience so that they do not interfere and cause shadows. We also set up the first-person perspective videos around the centre home video which gave an interesting effect of seeing both the original memory and its fragmented constuction which represents the memory for that person more personally. One piece of feedback we received was to make the bike video more scary and so we will add the emotions to the videos in the coming weeks; for example, the bike video will be sped up and include a heart beat as well as some dangerous music. We also discussed dressing the set and added a couple of pieces, such as a lamp and books, to make the space feel more homely and connected to childhood memories. We will continue to add items we feel relate to the feel of the space such as picture frames and cushions. We set out a plan on who would do what and the editing of videos has been delegated between us. Over the next week we aim to get all the items and videos edited so that we can put it all together next Thursday.
02/04/2024
Over the weekend, myself and Eliana were tasked with creating the 1st person perspective videos which will be shown around the original home videos. I was tasked with the bike video and beach video. Therefore, I sourced all the videos I needed and brought back a bucket and spade to use as the prop for the beach video. Using my own filmed footage and some stock sound effects, I was able to create an atmosphere which relates to each of the videos. I also used after effects to create a red beating effect which will be played around the sides of the 1st person bike video. I am very proud with what I have managed to achieve and look forward to seeing what Eliana has on Thursday when we are hopefully going to put the whole thing together with some props so set out the room. Unfortunately, we haven’t heard anything from Nattan this weekend so despite asking him to provide us with some of his own home videos, we haven’t seen if there is anything we need to film with him other than the bike video last week. If he does not come with anything on Thursday, we will just have to go with the stuff we have and have 4 videos instead of 5, which I think is still plenty. It is dissapointing, however, that Nattan hasn’t been as involved in the later stages of the project as we’d hoped and he hasn’t seen the working mechanism in person yet so we are hoping to see him on Thursday. Nevertheless, myself and Eliana will have finished videos to work with on Thursday so that we can finalise the project.
Here is an example of what the installation may look like in person (this is in no way accurate as I will be using MAX to cut up the 1st person perspective video playing around the home video in a way similar to the previous pictures taken):
04/04/2024
Set Up and Finalising
During today’s session, the whole group came in to set up and begin to finalise our project. Myself and Eliana came in first to set up the projector and mapping on the blocks. We used the videos we had both edited to be shown to the audience. Eliana then began working on finalising some of the videos which were then sent to me to add to MAX. Nattan arrived and began working on some ambient music which will be used throughout the exhibition to calm the audience as they enter the space. We then, also, began to dress the structure with childhood items, many of which were brought in by Nattan later in the afternoon. We also added some fairy lights which give the set a calming, etherial feel. Eliana has since ordered a ukalele to use as the prop for the guitar video and a mat for the audience to sit on. I, after playing around with MAX, changed the set up in MAX so that it is cleaner and better to use in our setting. I am also going to get some long wire over the weekend so that the connection between the MakeyMakey and the tilt detectors is more reliable so that when am item is lifted, the video begins to play. We then took some white paper and crayons and drew pictures as if we were children. The paper was then stuck to the wall as if a child has drawn on the wall to further the childhood experience in the room. Overall, I am very happy with what we were able to do today and look forward to putting everything together fully next Wednesday before the crit session on Thursday. Going forward, I will continue to edit my videos and Eliana is to edit hers and I will also work on an information plaque to guide the viewers before they enter the space.
Here is a video of what the project currently looks like:
Video Editing
Over the weekend, myself and Eliana were tasked with creating the 1st person perspective videos which will be shown around the original home videos. I was tasked with the bike video and beach video. Therefore, I sourced all the videos I needed and brought back a bucket and spade to use as the prop for the beach video. Using my own filmed footage and some stock sound effects, I was able to create an atmosphere which relates to each of the videos. I also used after effects to create a red beating effect which will be played around the sides of the 1st person bike video. I am very proud with what I have managed to achieve and look forward to seeing what Eliana has on Thursday when we are hopefully going to put the whole thing together with some props so set out the room. Unfortunately, we haven’t heard anything from Nattan this weekend so despite asking him to provide us with some of his own home videos, we haven’t seen if there is anything we need to film with him other than the bike video last week. If he does not come with anything on Thursday, we will just have to go with the stuff we have and have 4 videos instead of 5, which I think is still plenty. It is dissapointing, however, that Nattan hasn’t been as involved in the later stages of the project as we’d hoped and he hasn’t seen the working mechanism in person yet so we are hoping to see him on Thursday. Nevertheless, myself and Eliana will have finished videos to work with on Thursday so that we can finalise the project.
Here is an example of what the installation may look like in person (this is in no way accurate as I will be using MAX to cut up the 1st person perspective video playing around the home video in a way similar to the previous pictures taken):
04/04/2024
Set Up and Finalising
During today’s session, the whole group came in to set up and begin to finalise our project. Myself and Eliana came in first to set up the projector and mapping on the blocks. We used the videos we had both edited to be shown to the audience. Eliana then began working on finalising some of the videos which were then sent to me to add to MAX. Nattan arrived and began working on some ambient music which will be used throughout the exhibition to calm the audience as they enter the space. We then, also, began to dress the structure with childhood items, many of which were brought in by Nattan later in the afternoon. We also added some fairy lights which give the set a calming, etherial feel. Eliana has since ordered a ukalele to use as the prop for the guitar video and a mat for the audience to sit on. I, after playing around with MAX, changed the set up in MAX so that it is cleaner and better to use in our setting. I am also going to get some long wire over the weekend so that the connection between the MakeyMakey and the tilt detectors is more reliable so that when am item is lifted, the video begins to play. We then took some white paper and crayons and drew pictures as if we were children. The paper was then stuck to the wall as if a child has drawn on the wall to further the childhood experience in the room. Overall, I am very happy with what we were able to do today and look forward to putting everything together fully next Wednesday before the crit session on Thursday. Going forward, I will continue to edit my videos and Eliana is to edit hers and I will also work on an information plaque to guide the viewers before they enter the space.
Here is a video of what the project currently looks like:
10/04/2024
During the last couple days, I spent lots of time in the Blue Shed finishing the project. As well as helping Noah with his and Tess’s project by making sugar glass and collecting items for them, I spent time setting up the wiring with the wire I bought from Amazon and picked up in one of the local pick up points. This wire, while frayed, was very useful in making the mechanism work better. I used a wire stripper to help cut and strip the wire to the correct length before attatching it to the items and Makey Makey. This was a very fiddly, arduous process but after it was set up, the mechanism worked well. Eliana also came in to set up the set a little more and added some of her home drawn pieces to the wall, as well as decorated the floor with foam jigsaw pieces, making the space feel more homely and nostalgic. Chris also mentioned that we could use some of the beanbags from reception in the morning to distinguish between the projection and the ‘out-of-bounds area’. I also created a short description for viewers to read before entering the room so that they know what it is about and some of the rules we have in place. I am looking forward to tomorrow’s crit and for the rest of the group to see our project which I think is well put together and fun.
11/04/2024
Crit
During today’s crit session, myself, Eliana and Nattan came in early to set up the set which was almost ready from the night before. Eliana had brought in more pictures for the wall and I had updated the sign to be placed outside the room. We also picked up a bean bag from reception. As we were unable to take out more than one, we gathered some more blankets to cover the wires at the back of the room and tested the mechanism. Thankfully, everything worked well and we were able to begin thinking about how others may want to view the experience.
After a short break and viewing another group’s work, the class came to our installation and some were able to enter after taking their shoes off. The class could view the installation by sitting in the room and picking up items while others peered in through the windows as we could only allow four people in the room at a time. Everyone seemed to enjoy the experience and it was good to hear some of their feedback. Many felt like they had been transported into a world where memories are abundant and seemed to experience these memories as if they were their own, bringing light to feelings they associated with their own past. This was very good to hear as we anticipated that the feeling of being in the room should be somewhat calming and entrancing, as if stepping into your past. Although we didn’t anticipate that the speakers would be placed behind the audience, some audience members enjoyed the sound coming from behind as they view the video in front as it helped to transport them into that world, making the place feel like a ‘brain’ and all-encompassing which was particularly interesting to note. The audience also really enjoyed the tactile nature of the piece as they were able to feel the objects as well as the comfort of the ground underneath their bare feet, allowing them to be even more engrossed in the space. The piece is not designed to be viewed from the outside but audience members outside the room noted that they felt as if they were viewing others experiencing these memories and that was comforting in some way. On the contrary, the audience inside the room didn’t like that they were being watching in such an intimate space and so the piece would continue to be viewed in an enclosed, sealed off space if kept for longer. The wires were also mentioned but not as distracting as I’d feared since the room was so dark. I commented that if I were to do it again, I’d replace the wires with bluetooth sensors which would be embedded into the items so that there would be no need for wires and the experience could be had more purely in relation to what is placed on screen. Many enjoyed seeing both the first person and third person perspectives and were prompted to think about how they themselves remember their own past; whether that be through the home videos or their own eyes (which was our intention). Perhaps some of the videos could have had more feeling related to them and some were more effective than others but this didn’t seem to bother our audience and wasn’t really noticed. Another aspect that I would change would be to have a sort of ‘wall’ between the seating area and the computer and projector by having several bean bags cover the wires: unfortunately we were unable to do this but would be an idea for the future.
Overall, I believe our installation of ‘How do we Remember?’ was a success and most audience members congratulated us for the work we had done. Many people were impressed by the skills I was able to use with the MakeyMakey and very much enjoyed the experience of the place we had made and designed. It allowed audience members to have a nostalgic experience which they all enjoyed.
Finalising the Set
During the last couple days, I spent lots of time in the Blue Shed finishing the project. As well as helping Noah with his and Tess’s project by making sugar glass and collecting items for them, I spent time setting up the wiring with the wire I bought from Amazon and picked up in one of the local pick up points. This wire, while frayed, was very useful in making the mechanism work better. I used a wire stripper to help cut and strip the wire to the correct length before attatching it to the items and Makey Makey. This was a very fiddly, arduous process but after it was set up, the mechanism worked well. Eliana also came in to set up the set a little more and added some of her home drawn pieces to the wall, as well as decorated the floor with foam jigsaw pieces, making the space feel more homely and nostalgic. Chris also mentioned that we could use some of the beanbags from reception in the morning to distinguish between the projection and the ‘out-of-bounds area’. I also created a short description for viewers to read before entering the room so that they know what it is about and some of the rules we have in place. I am looking forward to tomorrow’s crit and for the rest of the group to see our project which I think is well put together and fun.
11/04/2024
Crit
During today’s crit session, myself, Eliana and Nattan came in early to set up the set which was almost ready from the night before. Eliana had brought in more pictures for the wall and I had updated the sign to be placed outside the room. We also picked up a bean bag from reception. As we were unable to take out more than one, we gathered some more blankets to cover the wires at the back of the room and tested the mechanism. Thankfully, everything worked well and we were able to begin thinking about how others may want to view the experience.
After a short break and viewing another group’s work, the class came to our installation and some were able to enter after taking their shoes off. The class could view the installation by sitting in the room and picking up items while others peered in through the windows as we could only allow four people in the room at a time. Everyone seemed to enjoy the experience and it was good to hear some of their feedback. Many felt like they had been transported into a world where memories are abundant and seemed to experience these memories as if they were their own, bringing light to feelings they associated with their own past. This was very good to hear as we anticipated that the feeling of being in the room should be somewhat calming and entrancing, as if stepping into your past. Although we didn’t anticipate that the speakers would be placed behind the audience, some audience members enjoyed the sound coming from behind as they view the video in front as it helped to transport them into that world, making the place feel like a ‘brain’ and all-encompassing which was particularly interesting to note. The audience also really enjoyed the tactile nature of the piece as they were able to feel the objects as well as the comfort of the ground underneath their bare feet, allowing them to be even more engrossed in the space. The piece is not designed to be viewed from the outside but audience members outside the room noted that they felt as if they were viewing others experiencing these memories and that was comforting in some way. On the contrary, the audience inside the room didn’t like that they were being watching in such an intimate space and so the piece would continue to be viewed in an enclosed, sealed off space if kept for longer. The wires were also mentioned but not as distracting as I’d feared since the room was so dark. I commented that if I were to do it again, I’d replace the wires with bluetooth sensors which would be embedded into the items so that there would be no need for wires and the experience could be had more purely in relation to what is placed on screen. Many enjoyed seeing both the first person and third person perspectives and were prompted to think about how they themselves remember their own past; whether that be through the home videos or their own eyes (which was our intention). Perhaps some of the videos could have had more feeling related to them and some were more effective than others but this didn’t seem to bother our audience and wasn’t really noticed. Another aspect that I would change would be to have a sort of ‘wall’ between the seating area and the computer and projector by having several bean bags cover the wires: unfortunately we were unable to do this but would be an idea for the future.
Overall, I believe our installation of ‘How do we Remember?’ was a success and most audience members congratulated us for the work we had done. Many people were impressed by the skills I was able to use with the MakeyMakey and very much enjoyed the experience of the place we had made and designed. It allowed audience members to have a nostalgic experience which they all enjoyed.